Zusammenfassung für CDS-1011 Einführung in Data Science
Grundbegriffe
| Begriff |
Beschreibung |
| Daten |
Beispiele: Transaktionsdaten, Log-Daten, Maschinendaten, Dokumente / Texte, Social Media, Videos, Bilder |
| Data Science |
Fachgebiet, welches sich mit der Gewinnung von Wissen aus Daten beschäftigt |
| Artificial Intelligence |
Systeme, die intelligentes Verhalten aufweisen. Indem sie ihre Umgebung analysieren und Massnahmen ergreiffen, mit einen gewissen Grad an Selbstbestimmung. Um dann bestimmte Ziele zu erreichen |
| Machine Learning |
Machine Learning beschäftigt sich mit der Frage, wie man Computer Programme so entwerfen kann, dass sie sich, mit Erfahrung, automatisch verbessern |
| Deep Learning |
Deep Learning ist eine unterkategorie von AI, die ihren Fokus auf die Erstellung von künstlichen neuronalen Netzen (KNN) setzt. KNN sind in der Lage, genaue datengestützte Entscheidungen zu treffen |
| Features |
Features sind die verschiedenen Attribute, die einen informationsreichen Datensatz bilden, der zum Trainieren von Modellen für maschinelles Lernen verwendet wird. Diese Merkmale werden als Eingabe für das Modell verwendet, um genaue Vorhersagen für die Labels zu treffen. |
| Labels (Zielvariablen) |
Ein Label, auch als Zielvariable oder abhängige Variable bezeichnet, ist die Ausgabe, für deren Vorhersage das Modell trainiert wird. Beim überwachten Lernen sind Labels die bekannten Ergebnisse, die das Modell während des Trainings mit den Eingabemerkmalen zu verknüpfen lernt. |
| Parameter |
Ein Parameter ist eine Variable, die während des Trainingsprozesses aus den Daten gelernt wird. Er wird verwendet, um die zugrunde liegenden Beziehungen in den Daten darzustellen und um Vorhersagen über neue Daten zu treffen. |
| Hyperparameter |
A hyperparameter, on the other hand, is a variable that is set before the training process begins. It controls the behaviour of the learning algorithm, such as the learning rate, the regularization strength, and the number of hidden layers in a neural network. Z.B. Anzahl Clusters bei einer Clustering Aufgabe |
Machine Larning
| Begriff |
Beschreibung |
| Überwachtes Lernen |
- Überwchtes Lernen nutzt Beispieldaten mit einer Zielvariable, um aus diesen Daten Muster zu erlernen und diese auf unbekannte Daten anzuwenden
- Wird für Klassifikationen und Regressionen genutzt, also für die Vorhersage von Wahrscheinlichkeiten oder numerischen Werten
- Überwachtes Lernen setzt eine aufwendige Datenvorverarbeitung voraus
|
| Klassifizierung |
Methode des überwachten Lernens, bei der ein Modell anhand von gelabelten Beispieldaten lernt, neue Datenpunkte vordefinierten Kategorien (Klassen) zuzuordnen, z.B. Bilder als "Hund" oder "Katze" zu erkennen, Spam-Mails zu filtern oder Kunden abzuwandern |
| Klassifizierung Algorithmen |
- K-Nearest-Neighbors
- Naïve Bayes
- Support Vector Machines
- Decision Trees
|
| Lineare Regression |
- Ziel: Vorhersage des Werts einer stetigen Variable
- Output: Reele Zahl
- Beispiel: Wie hoch ist der Schlusskurs einer Aktie morgen?
|
| Logistische Regression |
- Ziel: Vorhersage, ob ein bestimmtes kategoriales Ergebnis eintritt (binär, multinomial, ordinal)
- Output: Wahrscheinlichkeit, die dann in eine Klasse übersetzt wird
- Beispiel: Wird die Aktie morgen mindestens den Kurs n erreichen? (Ja = 1, Nein = 0)
|
| Modell |
Ein Machine-Learning-Modell ist ein Programm, das Muster findet oder auf Basis eines zuvor ungesehenen Datasets Entscheidungen trifft. |
| Unüberwachtes Lernen |
Unüberwachtes Lernen (Unsupervised Learning) ist ein Bereich des maschinellen Lernens, bei dem Algorithmen Muster und Strukturen in ungelabelten Daten selbstständig entdecken, ohne vorherige menschliche Anleitungen oder vordefinierte Zielwerte. |
| Halbüberwachtes Lernen |
Beim Semi-Supervised Learning wird ein Modell sowohl mit beschrifteten als auch mit unbeschrifteten Daten trainiert. Dabei lernt der Algorithmus mithilfe weniger gelabelter Datenpunkte, Muster in den Dateninstanzen ohne bekannte Zielvariable zu erkennen, was zu einer präziseren und effizienteren Modellbildung führt. |
| Reinforcement Learning |
Reinforcement Learning ist ein Teilgebiet des maschinellen Lernens, das sich darauf konzentriert, wie Agenten durch Trial and Error lernen können, Entscheidungen zu treffen, um die kumulativen Belohnungen zu maximieren. RL ermöglicht es Maschinen, durch Interaktion mit einer Umgebung und durch Feedback zu ihren Handlungen zu lernen. Dieses Feedback erfolgt in Form von Belohnungen oder Strafen. |
| Batch Learning |
Beim Batch-Lernen, auch Offline-Lernen genannt, wird ein maschinelles Lernmodell auf den gesamten Datensatz gleichzeitig trainiert, was zu einem statischen Modell führt, das nicht aus neuen Daten in der Produktion lernt und regelmässig mit aktualisierten Daten neu trainiert werden muss, um effektiv zu bleiben. |
| Online Learning |
In der Informatik ist Online-Maschinelles Lernen eine Methode des maschinellen Lernens, bei der Daten in sequenzieller Reihenfolge verfügbar werden und dazu verwendet werden, bei jedem Schritt den besten Prädiktor für zukünftige Daten zu aktualisieren. Dies steht im Gegensatz zu Batch-Lernverfahren, bei denen der beste Prädiktor durch das gleichzeitige Lernen anhand des gesamten Trainingsdatensatzes generiert wird. |
| Instanzbasiertes Lernen |
Eine einfache Methode besteht darin, dass das System direkt die Merkmale von neuen Datenpunkten mit denen der gelernten Datenpunkte vergleicht und ihre Ähnlichkeit vergleicht. Das bezeichnet man als instanzbasiertes Lernen. In der Trainingsphase lernt das System nur die Trainingsdaten. |
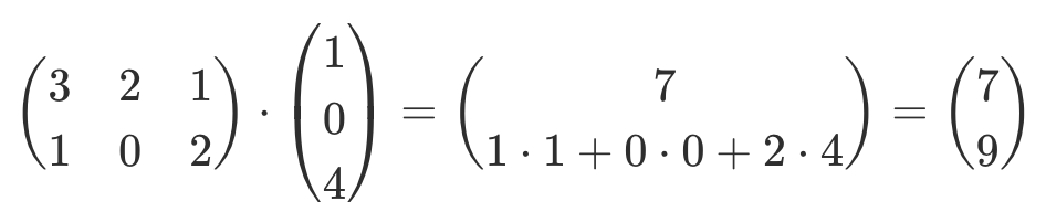
| Matrizen Operationen |
Beispiel |
| Addition |
 |
| Multiplikation mit Vektor |
 |
| Multiplikation |
 |
| Transponierte Matrizen |
 |
Herausforderungen
| Begriff |
Beschreibung |
| Bias |
Fehler, der entsteht, weil das Modell das Konzept nicht abbilden kann |
| Sampling Bias |
Bestimmte Gruppen unterreoräsentiert |
| Measurement Bias |
Fehelr in der Erhebung (z.B. Sensoren) |
| Survivor Bias |
Nur erfolgreiche Fälle in den Daten |
| Confirmation Bias |
Bewusste/unterbewusste Selektion von Daten |
| Data Cleaning & Wrangling |
- Ausreisser entfernen
- Fehler beheben
- Lückenhafte Merkmale (ignorieren, entfernen, ergänzen)
|
| Varianz |
Fehler, der entsteht, weil der Lernalgorithmus überempfindlich auf kleine Änderungen in den Trainingsdaten reagiert. Gesamtfehler eines Modells wird durch die Summe von Bias-Quadrat, Varianz und Rauschen ausgedrückt:  |
| Underfitting |
Modell ist zu einfach, um die in den Daten enthaltene Struktur zu erlernen. Möglichkeiten um Underfitting zu beheben: Mächtigeres Modell, Feature Selection, Hyperparameter |
| Overfitting |
Modell passt sich gut auf die Trainingsdaten an, kann aber nicht Verallgemeinern. Möglichkeiten um Overfitting zu beheben: Modell vereinfachen, Anzahl Features reduzieren, Umfang der Traingsdaten erhöhen, Rauschen reduzieren, Regularisierung (Restriktionen Hyperparameter) |
| Irrelevante Features |
Welche Merkmale sind relevant fürs Modell |
| Data Snooping |
Data Snooping ist eine Form der statistischen Verzerrung, bei der Daten oder Analysen manipuliert werden, um künstlich statistisch signifikante Ergebnisse zu erzielen. |
| Cross Validation |
Cross Validation ist eine Technik, mit der überprüft wird, wie gut ein maschinelles Lernmodell bei unbekannten Daten funktioniert, während gleichzeitig Overfitting verhindert wird. Dabei wird wie folgt vorgegangen: Der Datensatz wird in mehrere Teile aufgeteilt. Das Modell wird an einigen Teilen trainiert und an den übrigen Teilen getestet. Dieser Resampling-Prozess wird mehrfach wiederholt, wobei jeweils unterschiedliche Teile des Datensatzes ausgewählt werden. Die Ergebnisse jedes Validierungsschritts werden gemittelt, um die endgültige Leistung zu ermitteln.  |
Explorative Datenanalyse
| Begriff |
Beschreibung |
| Explorative Datenanalyse |
Explorative Datenanalyse (EDA) bezeichnet den Prozess, bei dem Daten untersucht, visualisiert und beschrieben werden, um erste Einsichten zu gewinnen, Zusammenhänge zu erkennen und Hypothesen zu formulieren — noch bevor Modellierung oder Hypothesentestsstattfinden. |
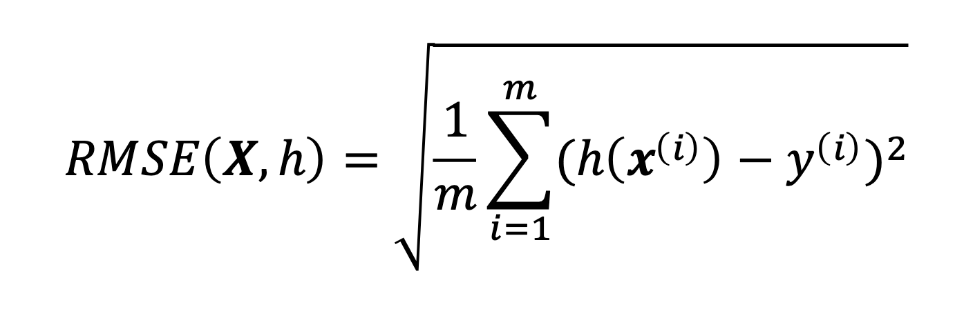
| Mittlere quadratische Abweichung (RMSE) |
- m ist die Anzahl Datenpunkte im Datensatz
- h ist die Vorhersagefunktion des Systems
- X ist die Matrix mit den Werten sämtlicher Merkmale
- x(i) Vektor der Werte aller Merkmale
- y(i) Label (gewünschter Ausgabewert)
 |
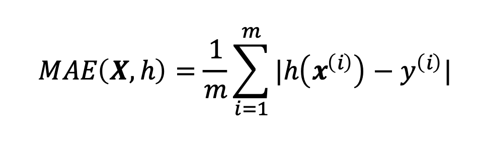
| Mittlerer absoluter Fehler (MAE) |
- m ist die Anzahl Datenpunkte im Datensatz
- h ist die Vorhersagefunktion des Systems
- X ist die Matrix mit den Werten sämtlicher Merkmale
- x(i) Vektor der Werte aller Merkmale
- y(i) Label (gewünschter Ausgabewert)
 |
| Stetige Merkmale |
- Belibigen Wert innerhalb eines Intervalls
- Unendlich viele Ausprägungen
- Beispiele
- Strekenlänge
- Zeitintervalle
- Gewicht
|
| Diskrete Merkmale |
- Endliche Anzahl Ausprägungen
- Menge ist zählbar
- Beispiele
- Schulnoten
- Haarfarben
- Geschlechter
- Anzahl Teilnehmer eines Sportanlasses
|
| Skalenniveaus |
 |
| Mittelwert |
Summe aller Werte dividiert durch die Anzahl von Werten. \huge \bar{x} = \frac{\sum_{i=1}^{n} x_i}{n} |
| Median |
Mittlerer Wert der sortierten Liste. \\ \huge \text{Median} = \tilde{x} = \begin{cases}x_{\left(\frac{n+1}{2}\right)}, & \text{wenn } n \text{ ungerade ist} \\ \\ \frac{x_{\left(\frac{n}{2}\right)} + x_{\left(\frac{n}{2}+1\right)}}{2}, & \text{wenn } n \text{ gerade ist}\end{cases} |
| Varianz |
\huge Varianz = s^2 = \frac{\sum_{i=1}^{n} (x_i - \bar{x})^2 }{n - 1} |
| Standardabweichung |
\huge Standardabbwichung = s = \sqrt{Varianz} |
| Mittlere Absolute Abweichung |
\huge \text{Mittlere Absolute Abweichung} = \frac{\sum_{i=1}^{n} \lvert x_i - \bar{x} \rvert}{n - 1} |
| Pearson Korrelationskoeffizient |
Zusammenhang zwischen zwei numerischen Variablen. \huge r = \frac{\sum_{i=1}^{n} (x_i - \bar{x})(y_i - \bar{y})}{(n - 1)\, s_x s_y} r \in [-1;1] - 1 stark positive Korrelation
- 0 keine Korrelation
- -1 stark negative Korrelation
|
Lineare Regression
| Begriff |
Beschreibung |
| Feature Engineering |
- Struktur des Konzept des ML Modell visualisieren
- Auswahl der Features für das ML Modell
- Trifft nicht auf Deep Learning zu
|
| Regressionsgerade |
Summe der quadrierten Abstände der einzelnen Messpunkte zur Geraden minimal.  |
Regressionsgerade berechnen
Beispiel:
x = [1, 2, 3, 4, 5], y = [2, 3, 5, 4, 6] \\
- x, y Tabelle erstellen
|
x |
y |
x*y |
x2 |
|
1 |
2 |
2 |
1 |
|
2 |
3 |
6 |
4 |
|
3 |
5 |
15 |
9 |
|
4 |
4 |
16 |
16 |
|
5 |
6 |
30 |
25 |
\sum |
15 |
20 |
69 |
55 |
- c Wert berechnen
c = \frac{\sum_y * \sum_x - \sum_x * \sum_{xy}}{n(\sum_{x^2}) - (\sum_x)^2} \\[1em]
c = \frac{20 * 55 - 15 * 69}{5*55 - 15^2} = 1.3
- m Wert berechnen
m = \frac{n(\sum_{xy}) - \sum_x * \sum_y}{n(\sum_{x^2} - (\sum_x)^2)} \\[1em]
m = \frac{5 * 69 - 15 * 20}{5 * 55 - 15^2} = 0.9
- Werte in Formel einsetzen
\hat{y} = mx+c \\
\hat{y} = 0.9x+1.3
- Funktionsgraphen mit Regressionsgerade Zeichnen
Kennzahlen der Regressionsanalyse R2
| Begriff |
Beschreibung |
| R2 |
Wie gut kann die abhängige Variable durch die unabhängige Variable vorhergesagt werden? |
| SSR |
Sum of squares regression. Welcher Varianzanteil des Kriteriums kann mithilfe der Prädikatoren erklärt werden? |
| SST |
Sum of squares total. Werte zwischen 0 und 1. Je höher der Wert, desto genauer die Vorhersage |
| yi |
Abhängige Variable |
\tilde{y} |
Median der abhängigen Variable |
\hat{y} |
Vorhergesagte abhängige Varbiable |
Beispiel:
x = [1, 2, 3, 4, 5], y = [2, 3, 5, 4, 6]
\hat{y} = 0.9x+1.3
\hat{y} = [2.2, 3.1, 4, 4.9, 5.8]
- Median von y finden
y = [2, 3, 5, 4, 6] sortieren \rightarrow y = [2, 3, 4, 5, 6]
i_{\tilde{y}} = \frac{5+1}{2} = 3
\tilde{y} = y[i_{\tilde{y}}] = 4
- SST berechnen
SST = \sum_{i=1}^{n} (y_i-\tilde{y})^2
SST = (2-4)^2+(3-4)^2+(5-4)^2+(4-4)^2+(6-4)^2 = 10
- SSR berechnen
SSR = \sum_{i=1}^{n} \hat{y}_i-\tilde{y})^2
SSR = (2.2-4)^2+(3.1-4)^2+(4-4)^2+(4.9-4)^2+(5.8-4)^2 = 8.1
- R2 berechnen
R^2 = \frac{SSR}{SST}
R^2 = \frac{8.1}{10} = 0.81
- Interpretieren
0.81 bedeutet, dass viele der Datenpunkte in der Nähe der Regressionsgerade sind.
Klassifikation
Unsupervised Learning Clustering